一、背景介绍
锂离子电池是储能的主力军,在大多数消费电子产品中发挥着至关重要的作用。随着交通的持续电气化和大规模电网存储的引入,它们的使用将变得更加丰富。不幸的是,传统的锂离子电池开始接近其能量密度极限。尽管对于许多应用来说,热失控和易燃性问题几乎已经被克服,但对于电动汽车或固定电网存储中使用的较大电池的安全问题仍有待讨论。克服这些当前限制的一个概念是用固体(结晶)电解质代替液态有机电解质。尽管固体电解质和所谓的全固态电池有望优于传统的锂离子电池,但仍有许多障碍需要克服,尤其离子电导率和电化学稳定性差。后者与防止电极-电解质界面附近不希望发生的过程密切相关。
一些最有希望用作强大陶瓷电解质的候选材料包括氧化物,例如钙钛矿型、NASICON型、LISICON型和石榴石型材料,磷酸盐和硫代磷酸盐,例如硫代-LISICONS、Li-argyrodites、LTPS和Li10GeP2S12(LGPS) 及其相关化合物;例如,LGPS在室温下显示出非常高的离子电导率值,高达12 mScm-1。它的晶体结构是出色的高离子电导率的基础,如图1 所示。
【图1】展示了从不同角度描绘的具有空间群P42/nmc(编号137)的Li10GeP2S12的四面体晶胞(a)沿c 方向的Li+离子通道和(b)LiS6–(Ge/P)S4多面体的边共享链。磷离子占据 4d(P1/Ge1,深紫色)和2b(P2,浅紫色)位点,前一个位点由磷离子和锗离子以1:1的比例共享。硫位于8g 位点上,四面体与P5+ 和Ge4+ 离子配位。 锂占据四个位点,分别为16h(Li1)、4d(Li2)、8f(Li3)和4c(Li4),每个位点的占据因子<1。LGPS中 Li+离子的精确分布和位置对称性仍未完全解决。与八面体配位的Li2 位点(4d)一起,[P1S4]3–和[Ge1S4]4–(2b) 四面体构成沿晶胞c 方向的链。 这些链由 [P2S4]3-基团连接。对应的多面体如图所示。Li2在传导过程中通常被认为是“惰性的”,因此,它与其他聚阴离子基团一起构成了结构框架。沿晶体结构的c 方向(Li1和 Li3)和ab 平面(Li1和Li4)可以看到Li+离子的扩散路径。然而,Li2也可能参与离子迁移过程。
平衡这些材料中非晶相和结晶相的数量和性质是影响离子电导率的关键因素。虽然一些硫代磷酸盐系统以无定形形式显示出更高的电导率,但其他系统依赖于高结晶度。尽管许多工作组已经对Li 的局部结构进行了表征,但Li+位点的确切排列和占据以及活化能随温度升高而变化的原因仍然存在争议。后者是指在亚环境温度下,即约-20°C,离子传输的活化能Ea 从约0.31eV(低温状态)降低到0.17eV(高温状态)。在文献中,对这种现象提供了不同的解释,例如涉及阻塞晶界(gb),这可能控制在较低温度下的离子传输和扩散相变的存在。其他可能的解释包括(i)限速扩散步骤的变化以及(ii)在高温下从准一维到三维传输的转变。
Li10GeP2S12是一组具有相似结构的庞大材料体系。它们的制备是希望能够达到更高的离子电导率,包括Li10SnP2S12 (4 mScm–1),Li11Si2PS12(4 mS cm–1)以及特别的Li9.54Si1.74P1.44S11.7Cl0.3(25 mS cm–1)。许多衍生物显示出与LGPS非常相似的电导率值,表明此类材料的离子电导率可能已达到阈值。此外,最近一项对900 多篇论文的LGPS合成条件的文本挖掘研究得出了类似结论的高统计数据。大多数研究集中在LGPS型材料的晶体化学上,即通过引入等价或异价离子来研究理想固溶体中的取代效应对整体离子电导率的影响。众所周知,在更广泛的功能陶瓷领域中,特别是高熵和掺杂的固态离子导体通常会显示掺杂剂阳离子在晶界上的不均匀分布,从而导致空间电荷区和局部二阶相劣化。平均晶粒尺寸越小,即晶粒体积上的晶界越高,这种效应就越能发挥作用。重要的是,最近关于Li+导电氧化物的发现甚至表明,这种行为会导致转移数的显着变化和晶界附近Li+还原的波动,这会影响枝晶的形成。
有鉴于此,令人惊讶的是,迄今为止,通过改变微晶尺寸来设计Li10GeP2S12的传导特性尚未成为实验研究的实质性问题。基于他们的计算结果,Dawson和 Islam提出当将微晶尺寸从传统的微米范围减小到10nm3的晶粒体积时,LGPS已经很高的离子电导率可能会进一步增加3倍。他们解释了通过局部Li+离子配位变化看到的轻微增强,即局部无序。假设这些结构变化有助于LGPS ab平面中较慢的扩散过程,在纳米级LGPS中,扩散路径比块状材料中的各向同性更强。根据模拟,LGPS中的离子传输从沿c方向的优先扩散转变为准3D的纳米结构。此外,据报道,对于由体积为10 nm3的晶粒构成的结构,锂离子传输的扩散长度显着减小,从而导致晶胞间扩散增加。
一种相对简单且成熟的方法来降低平均晶体尺寸和引入结构(点)无序是通过高能球磨提供,这是一种自上而下制备纳米尺寸微晶的方法。从导电性较差的粗粒度材料开始说起,许多研究报告了提高离子电导率的纳米晶结构的单相材料,例如γ-LiAlO2、β-锂辉石LiAlSi2O6、玻璃前体Li2B4O7、Li2TiO3、LiTaO3、LiNbO3、Li2S以及硫代磷酸盐,例如银汞石型Li6PS5I。另一方面,据报道,机械诱导的结构弛豫会降低淬火制备的玻璃体离子电导率。
对于 LGPS,仍然缺少对用μm尺寸微晶处理样品引起的结构和动态变化的研究。预期的变化可能比预期的更重要,因为Li10GeP2S12是一种相对较软的材料,LGPS的机械性能的特点是为氧化物所报道的杨氏模量的1/3 至1/4。因此,目前的研究旨在回答以下问题:(i)球磨在多大程度上影响LGPS中的局部结构,以及(ii)是否能够显著增强LGPS中的离子动力学,正如理论上所建议的那样。
二、正文部分
1、成果简介
针对上述问题,格拉茨理工大学H.Martin R. Wilkening通过使用相对温和的研磨条件制备了一系列平均晶粒直径为10 nm 的纳米晶LGPS 样品。球磨对LGPS的影响是双重的。事实上,虽然作者团队能够制备纳米晶LGPS,但X射线粉末衍射和高分辨率31PNMR 表明,即使在这些条件下,结晶LGPS也会部分转化为无定形材料。在较长的研磨时间下,获得几乎完全无定形的样品。最有可能的是,样品被视为嵌入无定形基质中的纳米级LGPS微晶。由于纳米尺寸的LGPS区域,这种形态不仅可以揭示快速的离子动力学,而且还可以提供沿着生成的非晶-晶体界面区域的快速传输路径的渗透网络。这种利用空间电荷效应的现象已在SiO2、LiF/TiO2系统、玻璃陶瓷LiAlSiO4或LiBH4/Al2O3 上的LiF薄膜中有报道。此外,无定形和/或应变LGPS具有更好的化学稳定性,赋予其制备和表征对未来电池应用的重要性。
然而,在目前的情况下,作者确实观察到引入LGPS任何类型的结构紊乱,无论是扩展的无定形区域还是体结构中的缺陷,都会减慢宏观离子传输。这一发现似乎也适用于界面区域。因此,作者得出结论,对于具有保证快速Li+传输的晶体学明确路径的材料,就像LGPS的情况一样,缺陷和位点无序恶化甚至中断快速Li+交换的通道。按照莎士比亚的有序与无序原则,作者的结果强调了控制结构(位点)无序和缺陷化学以确保LGPS型电解质中快速离子传输的重要性。
该研究以题目为“Ionicconductivity of nanocrystalline and amorphous Li10GeP2S12:the detrimental impact of local disorder on iontransport”的论文发表在化学领域国际顶级期刊《Journalof the American Chemical Society》。

2、研究亮点
Battle了莎士比亚的有序与无序原则在固态电解质离子电导率方面的重要问题;
2. 预期的变化可能比预期的更重要:模拟的预期与实验结论可能大相径庭。
3、图文导读
-
问题一:作者的材料怎么做的?结构是什么?
作者按照经典的固态制备路线合成了Li10GeP2S12。将化学计量的初始材料 Li2S(AlfaAesar 99.9%)、P2S5(Sigma-Aldrich99%)和GeS2(abcr99.99%)称重并与180 ZrO2珠(直径5 毫米,珠粉比约为20:1),一起放入180 ZrO2 研磨瓶(45mL)。使用行星式球磨机(FritschPulverisette 7 Premium line)对混合物进行机械处理。粉末以每分钟 380转 (rpm)的速度处理40 小时,15 分钟研磨和15分钟暂停交替循环以避免过度加热,总计净研磨时间为20 小时。将颗粒压制并密封在真空石英管中。密封的样品在550 °C(1°C min-1)下退火8小时。使用研钵和研杵研磨退火的粒料。为了将合成的LGPS粉末纳米化,将它们与60个ZrO2珠(5毫米,珠粉比约为30:1)一起研磨不同的研磨时间。所有步骤均在充满Ar 的手套箱中进行,H2O和 O2水平均低于0.1 ppm。
【图2】(a)合成后的微晶样品(显示在底部)和纳米晶LGPS 样品的X射线衍射堆叠图,这些样品是通过在所示的持续时间和转速下研磨制备的。在低衍射角处增加的背景信号来自仪器源和用于保护样品免受与空气发生任何反应的Kapton膜。尽管有这个保护,研磨时长的样品会出现更宽的隆起,如箭头所示。此外,由于尺寸效应和引入的应变,反射变宽。重要的是,研磨过程中除了LGPS 没有形成其他阶段。研磨120 分钟后获得大部分无定形样品。(b) 位于大约29.5° 处的LGPS [米勒指数(203)] 的主反射放大图,以说明X射线峰值展宽。图片是从用于近似信号形状的适当伪Voigt函数推导出的反射的宽度(半峰全宽)。
【图3】(a)微晶Li10GeP2S12 的31P MAS NMR 光谱(202.5 MHz, 旋转频率25 kHz)。化学位移参考 CaHPO4中的 31P信号。各向同性化学位移为94 和74 ppm的线具有相同的强度。它们分别归因于LGPS 结构中的4d (P1) 和2b (P2) 位点。87ppm 的信号分配给在LGPS合成期间已经形成的边相。强度非常低的线,分别出现在68 和37 ppm,表示含氧[PS4–nOn]3–单元。(b)经过给出的研磨时间后获得的微晶LGPS 和球磨LGPS 的31P MAS NMR光谱。研磨后,会出现一个宽信号(83 ppm),该信号主导处理120 分钟的样品的31P NMR 响应。
用RigakuMiniFlex(BraggBrentano 几何,CuKα 辐射)或RigakuSmartLab(毛细管,CuKα 辐射)记录粉末X 射线衍射(PXRD)花样。在测试过程中,通过使用空气敏感的样品架(MiniFlex)或使用用油脂和封口膜密封的玻璃毛细管(SmartLab设备)来保护样品免受与微量水分的任何反应。在BrukerAvance III 500 MHz 光谱仪上使用2.5 mm ZrO2转子获得高分辨率31P和6Li(魔角旋转)MASNMR 光谱,转子在环境轴承气体条件下以νrot = 25kHz 的速度旋转。光谱参考CaHPO4(Fluka, >97%) 和CH3COOLi·2H2O(Sigma-Aldrich, ≥97%),化学位移分别为-1.5ppm(高场信号)和0ppm。对于每次测量,脉冲长度、扫描次数、循环延迟、参考相位和精确的共振频率都经过仔细调整,以获得在共振条件下的最佳自由感应衰减(FID);无需任何进一步的操作程序即可对FID进行傅里叶变换,以产生此处所示的7Li和 31PMAS NMR 光谱。
本文的XRD反射的展宽,尤其是29.5° 处的信号(图2b),归因于机械处理过程中纳米级微晶的形成和引入的应变。根据Scherrer方程并考虑到纳米晶体材料的X射线花样的质量,作者估计在样品处理120 分钟(400rpm)后平均微晶直径仅取10 nm的值。此外,长期研磨出现更宽的驼峰(参见图2a中的箭头),作者将其指定为结构无定形区域的形成。因此,得出结论,对于研磨时间较长(≥30分钟)的样品,纳米级LGPS微晶嵌入无定形基质或至少被无定形层覆盖。X射线衍射对非晶区的指定可完全由31P MAS NMR做相应支撑,相应的单脉冲NMR 光谱如图3所示。从非晶相和结晶相的化学位移来看,作者假设无序LGPS 的特征在于与有序LGPS相同的化学计量。如最近的研究所示,Ge含量的变化会敏感地影响31P NMR化学位移,这在此处未观察到。因此,排除了两个阶段中任何一个Ge 的任何富集或消散。
正如对微晶 LGPS所预期的那样,31PMAS NMR 在化学位移δ 分别为94 和74 ppm 处显示两条不同的线(图3a)。这些线在强度和面积上几乎相等,对于LGPS 结构中的P1 (4d) 和P2 (2b)磷位点是独特的。重要的是,除了形成无定形区域外,在研磨过程中没有引起LGPS的机械化学转变,这可以从LGPS 的不变31P 化学位移以及1:1比例的事实中看出。LGPS的两个P信号不会改变来诊断晶体或纳米晶体。87ppm 处的信号可归因于正交Li3PS4 中的[PS4]3– 单元是经典合成的Li10GeP2S12的常见伴随物。如上所述,它也可能反映形成侧相的正交LGPS。该NMR 信号下的面积约为16% 至最多20%。
参见图 3b,由于对合成后的LGPS 的31P MAS NMR光谱的详细分析对成分和局部结构产生了宝贵的见解,因此31PNMR 也是收集研磨样品结构信息的首选方法。机械处理后,在 83ppm 处出现一条新的宽NMR谱线。通过增加研磨时间和研磨速度,这个新信号的强度逐渐增加,直到它主导NMR响应(研磨时间:60和 120分钟)。可以认识到,在 400rpm 的恒定转速下,最大的变化发生在研磨时间从30 分钟增加到60 分钟时。这一观察结果与两个相应XRD图案的晶体学变化非常吻合。最有可能的是,该材料从结构无序/扭曲的纳米晶体转变为主要是无定形的形式。
在文献中,据报道,在83ppm 处的 31PNMR 谱线反映了类似于Li2S-P2S5玻璃体中偏磷酸盐基团的链单元。宽核磁共振谱线揭示了纳米晶LGPS 中31P自旋感知的无序和扭曲的化学环境。注意,83ppm 的化学位移几乎反映了属于结晶Li10GeP2S12 的两条31P NMR谱线的平均化学位移值。作者将新线归因于在球磨过程中连续形成的结构无定形相中的31P自旋。有趣的是,侧相的31P NMR谱线,可能是正交LGPS,强度随着研磨时间的增加而降低。在足够长的研磨时间下,它不能再被检测到(见图3b),并假设它与无定形LGPS 合并。
【图 2】微晶Li10GeP2S12(底部)及其球磨对应物的6Li MAS NMR 光谱(73.6MHz,25kHz)。化学位移参考CH3COOLi·2H2O 中的6Li信号。随着研磨时间和旋转速度的增加,新的NMR 信号出现在ca. 0.6ppm。它不断增加强度并开始主导以400 rpm 的旋转速度研磨30分钟的样品的光谱。对于更长的研磨时间(60分钟、120分钟和 400rpm),可以看到整个信号进一步向0.75 ppm 移动。将此NMR 线归因于无定形LGPS 的形成。0.93ppm 处的线是指杂质,例如正交LGPS。
晶体 LGPS和经过高能球磨的样品的相应6Li MAS NMR 光谱如图4 所示。6Li光谱的反卷积和相应的拟合参数可以在支持信息中找到(图S5 和表S5)。晶体 LGPS的光谱主要由一条单线组成,它表示由于LGPS中磁不等位点之间的快速Li+跳跃过程而产生的平均信号。最重要的是,在研磨时,出现了一条新的NMR 线,将其归因于无定形LGPS。值得注意的是,这条线也是运动平均线。看到Li自旋在两个不同相中的平均化学位移值的变化,0.5ppm(结晶)与0.6ppm(无定形相,短研磨周期)仅略有不同。尽管有这些微小的变化,但6Li MAS 光谱证实了31PNMR MAS 实验的结果。除了31P MAS NMR 之外,6LiMAS NMR 谱线在长时间研磨后最终向0.75 ppm移动,揭示了这些样品的局部(扭曲)结构或离子动力学的进一步变化。
值得注意的是,0.93ppm 处的浅线显示在不同的磁环境中存在少量的Li 自旋。这条线不能归因于 β-Li3PS4,因为内部参考的6Li MAS NMR 线显示了0.76 ppm的信号。更有可能的是,它反映了对于以300rpm 研磨 15分钟的样品也可检测到正交LGPS。研磨后信号变宽,对于重度研磨的样品几乎不再可检测到,这在31P NMR中的相应谱线中也可以看到。从一开始就存在少量正交LGPS意味着所有相都具有相同的化学计量比。此外,这将支持作者的发现,因为到目前为止还没有特别的证据表明无定形相的化学成分与未研磨的LGPS 的化学成分有很大差异。
最后,核磁共振和一定程度的XRD帮助可视化机械处理后局部无序的变化。缺陷和Li位点无序、多面体变形以及应变的产生导致31P 和6Li MAS NMR光谱发生显着变化。在软机械处理条件下,假设产生核壳结构,非晶相覆盖(纳米)结晶LGPS区域。如果在400 rpm的转速下将研磨时间增加到60 或120分钟,结晶区域的数量会大大减少。根据31P MASNMR,光谱表明在这些研磨条件下产生了大约>80% 的无定形材料;参见图3b中的相应光谱。因此,必须将这些样品描述为两相的混合物,其中少量LGPS纳米微晶嵌入无定形基质中。如上所述,X射线粉末衍射也支持这一观点。
-
问题二:材料的离子动力学情况如何?
【图3】(a)在广泛的温度和频率范围内微晶Li10GeP2S12的电导率等温线记录。在20 °C 时,显着的DC 平台表明(整体)电导率为3.9 mScm–1。作为比较,-60°C 时的离子电导率降低到6 × 10–5 Scm–1。此外,显示了M″(ν)光谱,其顶点频率大致指向σ′(ν)中仅在低温下可识别的高频平台(体响应)的中心。(b)在-135°C下测量的微晶Li10GeP2S12的频率相关(AC)阻抗的阻抗图-Z″(Z′)。两个半圆用适当的等效电路参数化,该等效电路由两个R-CPE元件组成,每个元件由一个电阻器R 与一个恒定相位元件CPE 并联组成,然后是一个CPE,代表最低频率下的电极极化。电容表示受硫代磷酸盐晶界区域影响的体积(18 pF) 和整体电响应(0.41 nF)。
宽带阻抗谱研究了结构紊乱和缩小微晶尺寸对整体锂离子动力学的影响。在图5 中,微晶(即未研磨的LGPS)的完整电响应通过收集数据的三个表示形式显示。在图5a中,所谓的电导率等温线与模量等温线一起显示为光谱图。
通过将复离子电导率σ 的实部σ' 绘制为频率ν的函数来获得电导率光谱。在高温和低频下,由于用于接触样品的电极材料阻挡离子带来的极化效应,曲线显示随着频率的降低而强烈衰减。在足够高的温度下,这种极化状态会进入与频率无关的平台区域,将其识别为所谓的DC(直流)状态。该方案的电导率值直接反映受(离子阻挡)晶界区域的体离子动力学和/或离子传输影响。事实上,在低温下,观察到低频状态下的直流平台(图5a 中标记为1)和另一个在较高频率下略微倾斜(参见标签2)。在升高的T 和使用σ'(ν)表示时,这两个过程不能再彼此分离。高平台2最终进入其分散(Jonscher型)区域(标记为3),因为它在低温下最为明显。在20 °C(仅看到一个单一但显著的DC平台温度)下,微晶样品(整体)电导率为3.9 mS cm–1。与其他研究中提供的值相比,该值仅略低。最有可能的是,样品制备的微小变化是造成这种差异的原因。
本文σ'(ν)中的两个平台被分配给体区域的电响应(平台2)和受离子阻挡晶界区域轻微影响的完整电响应(平台1)。当考虑电导率数据的相应奈奎斯特表示时,可以更好地理解这种分配。为此,在图5b 中,复平面图用于可视化在-135 °C 下记录的-Z″(Z′) 位置曲线。Z″是虚部,Z′是复阻抗 Z的实部。看到的两个(凹陷)半圆的特征在于电容C 分别为18 pF(体过程)和41nF。对于体响应和受晶界区域影响的响应,这些值显然是预料到的。为了提取这些电容值,使用由电阻器和恒定相位元件(CPE)组成的适当等效电路来评估完整的位置曲线以表示每个半圆。图5b显示了总拟合和各个组件。观察到,硫化物(如LGPS)中的晶界区域降低了样品的整体宏观电导率,但结果证明比氧化物系统中的晶界区域要少得多。
虽然在低温下影响是可测量的,但在较高的T下,晶界区域对宏观传输的电阻效应在许多情况下可以忽略不计。这一观察结果与这样一个事实一致,即在这个高T 极限中,σ'(ν)确实只显示了一个DC平台。值得一提的是,Li+穿过晶界区域的传输影响的半圆明显被压低,该特征称为非德拜行为,可以根据相关运动或控制Li+传输的电弛豫率分布与这些区域一起来理解。它与参数n 一起,表征底层CPE元素,结果显着低于1。这一观察结果与高频半圆形成对比,后者表明体离子动力学将由更窄的分布函数来描述。
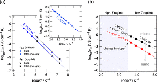
【图6】(a)微晶LGPS的阿伦尼乌斯图,显示了体积(晶内)和总(长程)电导率的变化,即Nyquist表示,或从电导率等温线确定(σDC),或从复平面图中提取(σN),温度范围为-135 至-80 °C。在高于 -80°C 的温度下,不再可能分离这两种贡献。线表示与线性函数的拟合,以确定所示的激活能。在大约-20 °C时,Arrhenius线的斜率会发生变化。在T 升高时,活化能降低到0.25eV;见插图。(b)微晶 LGPS和球磨 LGPS的整体(总)电导率变化,在400 rpm 下处理120 分钟。虚线和实线是阿伦尼乌斯拟合,揭示了所示的激活能量。
为了研究两个弛豫过程的温度依赖性,评估了(i) 电导率平台的值和(ii)分析了从参数化奈奎斯特图曲线中提取的电阻率值。相应的电导比率如图6 所示。用gb表示的值表示考虑了晶界区域的电阻性质的值。虽然LGPS中表征整体电特性的值确实一致,但对于涉及体电弛豫的值而言,只看到了轻微的变化。在误差范围内,总离子电导率和体离子电导率的活化能相同(0.31eV)。因此,当从整体属性到整体属性时,必须在Arrhenius前因数的差异中寻找变化,其中包括例如几何效应、尝试频率、跳跃距离和迁移熵。在电导谱中,它还包含参与离子传导过程的电荷载流子的数量分数。0.31eV 的值与 Bron等人报道的值完全一致。
在图 6a的插图中,显示了总电导率的温度依赖性。注意到活化能Ea 从60 meV 降低到0.25eV。这种变化发生在-20°C,伴随着相应的Arrhenius前因子的减少。到目前为止,其他人也讨论了Arrhenius行为中的扭结。Kuhn等人提出,在较低的T下,晶界的电阻性质开始影响σ,导致在远低于环境温度的温度下更高的总活化能。本文看到涉及晶界的离子传输不会增加Ea而是影响前因子。作为早期解释的替代方案,从0.31eV(在低T 下)到0.25 eV(在较高T下)的变化也可能反映了从相关运动到不太相关运动的转变。这种转变已被用于解释以Na+和Li+离子为主要电荷载体的β-氧化铝、氯代硼酸盐和金属有机骨架中的Arrhenius线的类似扭结。
正如文献中另外讨论的,Li+离子在Li10GeP2S12中的迁移可以分为两种一般机制,即沿晶体结构的c方向的阳离子迁移和离子在ab平面中的扩散。基于计算,Li+沿 c方向的传输以0.17 eV的活化能为特征。然而,ab平面中的离子动力学被计算为由0.28 eV的跳跃势垒控制。后一个值与本研究中在较低T (0.31 eV)下探测的活化能非常吻合。因此,得出结论,长程离子传导的限速步骤可能涉及沿该平面的原子跳跃,因为这些可以避免沿c方向的快速1D路径的阻塞缺陷。从这个意义上说,在Arrhenius行为中看到的扭结可能代表了从准1D 传输到3D 动力学的变化。
-
问题三:离子动力学机制及结论
【图5】(a)在-135°C 下记录的Li10GeP2S12的电导率等温线和电模量光谱。数据指的是微晶和纳米晶LGPS,即球磨样品。从微晶LGPS(黑色)开始,曲线指的是以下研磨条件:300rpm 下 15分钟(蓝色)、400rpm 下 15分钟(深绿色)、400rpm 下 30分钟(亮绿色)、400rpm 下 60分钟rpm(黄色)和400 rpm(红色)时120 分钟。研磨后离子电导率明显降低。出现了较低频率的第二个M”峰,将其分配给非晶相的形成。(b)用于说明球磨过程中发生形态变化的砖层模型。在机械研磨过程中,微晶尺寸减小,狭窄的晶界被更厚的无定形(中间)相取代。Lc、lgb和 la分别对应于微晶、晶界和非晶相的厚度。
在图 7a中,将微晶LGPS 在-135 °C下记录的电导率等温线与研磨样品的电导率等温线进行了比较。在如此低的温度下测量的等温线允许最容易区分体积和晶界贡献,因为相应的特征电弛豫频率远低于室温。令人惊讶的是,观察到在机械处理后,等温线σ'(ν)向较低的电导率值移动。球磨不会导致 LGPS中离子动力学的任何进一步增强。
同时,发现电模量谱M″(ν)的两个显著变化可以更好地反映电导谱的整体变化。 首先,在对硫化物样品进行软球磨后,结晶 LGPS的原始模量峰值向低频移动。由于M″(ν)峰的顶点频率与平均Li+跳跃率成正比,因此研磨时体积离子动力学也会降低。最有可能的是,在纳米微晶内部产生的缺陷阻碍了离子传输。其次,研磨时出现一个新峰,该峰位于较低频率,表明球磨样品中的电弛豫过程相当慢。一开始,即经过短暂的研磨时间后,它表现为主峰的肩部。然而,以400 rpm的速度进行60分钟的机械处理会导致新的峰值转移到更低的频率(10 Hz)并明显增加强度。研磨60分钟后观察到的这种宏观电响应的转变完全反映了31P 和6Li NMR核在埃长度尺度上观察到的局部环境变化,参见上文。
由于两个模量峰值的幅度仅相差2倍,因此它们所反映的过程均源自体积。虽然原始模量峰值表征了晶内离子动力学(见上文),但将新模量峰值归因于电荷载流子受到结构无序、无定形LGPS的电弛豫。注意到,在-135°C 时,LGPS结晶区域中的Li+输运虽然受到球磨的影响,但仍比非晶相高2个数量级。由于这种低导电相也在低频下主导了电导率响应σ′(ν),参见ca. 1 Hz 处的平台,微晶LGPS(如上所述)所见的前晶界响应几乎被掩盖。
电响应的电容 C随研磨时间而稳步下降。对于经过软研磨的样品观察到较大的电容,即在300 rpm (0.14 nF) 或400 rpm (98 pF)下仅持续 15分钟,对应于低强度的M”峰;见图7a。最有可能的是,这些经过软处理的LGPS 样品的电响应包括(i)来自晶界和非晶区域的重叠贡献,或(ii)源自在(纳米)微晶域之间或覆盖仍然具有相当大的晶界特性。
作者通过砖层模型的宽带电导率来了解离子动力学的演变,见图7b,经过长时间的研磨,晶界被生长的无定形相所取代。假设这样一个砖层模型,体积和晶界的相对电容可以根据Cc/Cgb = lgb/lc计算,描述电容的比率和几何特性。随着研磨的进行,会形成无定形材料和纳米微晶。非晶相主要生成在晶粒的外层,即晶界区。因此,由于这种核壳结构,晶界在空间上变得不太明确,并被间距增加的无定形区域la 而不是lgb所取代。同时,lc在研磨时降低。因此,这种趋势将解释M”随着研磨时间和转速的增加而演变:观察到(纳米)晶体体积贡献的更高电容(M”较低幅度)和晶界区域的较低电容和/或无定形部分(M”更高幅度);见图7a。
【图8】(a)离子电导率的温度依赖性Arrhenius曲线,绘制为log10(σDCT) 相对于表示为1000/T的逆温度。此处仅显示了低于-20 °C的低温状态。σDC值直接从相应电导率等温线的平台中读取。数据对应于微晶LGPS(黑色)和样品在300 rpm(蓝色)下研磨15 分钟,在400 rpm 下研磨15 分钟(深绿色),在400 rpm 下研磨30 分钟(亮绿色),在400 rpm 下研磨60 分钟(黄色)和120 分钟,转速为400 rpm(红色)。在低于或等于 -80°C 的温度下,可以分离体积和晶界的贡献。批量响应显示在插图中。在这个过程中也观察到活化能的降低。(b)活化能源自体和晶界/非晶响应的线性拟合。后者是在低温(≤-20°C)和高温状态下获得的。
到目前为止,作者提出在剩余纳米微晶之间新形成的无定形界面是造成材料整体离子电导率降低的原因。如上所述,通过等效电路分析奈奎斯特曲线和高于室温的温度,将两种贡献(即晶内响应和非晶相响应)分离出来是很困难的。然而,在低于-80°C的温度下,能够借助模量光谱的信息通过分析相应电导率光谱中的不同平台来分离响应。参考gb/非晶贡献的所得电导率如图8a 所示,图8a中的插图显示了晶粒内(块)区域的电导率。可以认识到,随着球磨持续时间的增加,对应于图7a中低频平台的离子电导率明显降低,相应的活化能从0.31 eV增加到0.37电eV,见图8b。
重要的是,如上文对在-135°C记录的数据所讨论的,球磨也影响纳米晶区域中的离子动力学。图8a 的插图显示,晶粒内Li+跳跃也随着研磨时间的增加而减少。活化能遵循这一趋势,从0.31 略微增加到0.34eV。这种行为不支持提议的离子电导率增加,即Dawson和 Islam所建议的那样,纳米晶LGPS受益于局部无序、局部离子配位的变化甚至动态过程维度的变化。模拟表明,当从块体到晶粒体积为10 nm3的纳米晶体时,促进了沿ab平面的扩散,即面内扩散;因此,他们假设从1D 扩散到3D 扩散。局部Li+环境的变化是造成这种增加的原因;特别是他们观察到 Li-Li和 Li-S配位数在> 5 Å的距离处减少了1;低于4.5Å,任何这样的变化都被证明是相当小的。本文高能球磨过程中引入的缺陷明显阻碍了长程离子传输,因此得出结论,LGPS中晶体学上定义明确的扩散路径被引入晶体区域的缺陷扭曲甚至阻塞。
总之,球磨对LGPS中整体离子动力学的影响是双重的:(i)无定形LGPS不利于轻松的远程离子传输,(ii)无序和扭曲不会促进纳米晶区域中的粒内离子动力学。 总之,与未研磨的 LGPS相比,经过120分钟研磨的样品的电导率在20 °C (0.41mS cm–1) 时降低了大约1 个数量级。
4、总结和展望
Li10GeP2S12 (LGPS)被称为高导电固体电解质,它为探索类似结构和其他类别的材料以研究其离子传输特性打开了大门。关于是什么因素推动了LGPS中异常高的离子电导率,文献中一直存在争论。到目前为止,引入结构无序和纳米尺寸效应对许多不良离子导体有益,尚未对LGPS进行实验研究。为了在实验方法中做出贡献,作者采用高能球磨来减小固态反应合成LGPS的微晶尺寸并研究Li+动力学。表明,如果通过高能球磨实现纳米尺寸和无序,确实会降低LGPS中的锂离子动力学。球磨导致在结构无定形区域旁边形成纳米微晶。由31P 和6Li 高分辨率NMR检测到的局部变形似乎不仅在非晶相中而且在产生的富含缺陷的纳米晶区域中都阻止了离子传输。后一个发现是通过应用低温宽带电导率光谱来揭示的,能够独立于表征非晶区域的动态特性来研究体积响应。
显然,在晶体学上定义明确的扩散或传输路径的材料中,引入更高维度的缺陷不利于快速离子动力学。这种缺陷结构阻碍了离子在长程尺度上引导通过晶体结构。研究结果强调了为LGPS等材料合成纯相和结晶相的重要性,这些材料提供由部分填充的锂亚晶格形成的(低维)快速迁移路径。在LGPS中,整体离子动力学敏感地依赖于结构紊乱。因此,对缺陷化学和缺陷浓度的适当控制是理解和成功操纵高离子电导率材料中离子动力学的关键因素。
参考文献:
Lukas Schweiger, KatharinaHogrefe* Bernhard Gadermaier, Jennifer L. M. Rupp and H. Martin R.Wilkening*, Ionic conductivity of nanocrystalline and amorphousLi10GeP2S12:the detrimental impact of local disorder on ion transport,Journal of the American ChemicalSociety, DOI: 10.1021/jacs.1c13477
https://doi.org/10.1021/jacs.1c13477
内容转载于“深水科技”














