引言
将循环伏安法与其他测试技术联用,是更加全面理解电池行为的核心策略。联用技术中,应用最广的为常规的非原位测试与CV测试进行互补联用。常规非原位测试需要按顺序进行,样品需从电池取出或测试间有间隔,能提供多维度、相互印证的补充数据,从而构建更完整的电池性能体系,分析电池性能。
常规非原位联用测试
下文所举出的是实验室和工业界最常用、最容易实现的组合,通常在不同的设备上按顺序对同一样品进行测试。
电化学阻抗谱
联用逻辑:CV(定性/动力学)+ EIS(定量/界面)
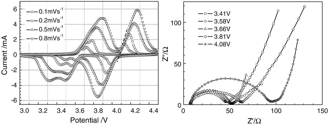
协同作用:CV可以快速扫描电池的活性电位窗口和反应可逆性。在此基础上,在CV确定的某个特定电位(如开路电位或某个峰电位)下进行EIS测试,可以定量分析电池的欧姆内阻、电荷转移电阻和锂离子扩散阻抗等。两者结合,既能了解“发生了什么反应”,也能知道“反应的阻力来自哪里”。在测定锂离子在Li3V2(PO4)3材料中化学扩散系数的研究中,CV和EIS分别提供了独立但又相互印证的数据路径[1]。CV通过验证峰电流与扫描速率的平方根之间存在线性关系,首先定性地判断该电极反应是受锂离子扩散步骤控制的。在此基础上,EIS通过分析其在极低频区域的阻抗数据,能够定量计算出锂离子的化学扩散系数。值得注意的是,分别通过CV和EIS两种方法测得的扩散系数值均在10-9至10-8 cm2/s范围内,显示了良好的一致性。这充分体现了CV在定性判断机理和EIS在定量计算关键参数方面的互补性。
3 electrodes at different scan rates at 25℃. Right Nyquist plots of Li3 xV2(PO4)3 measured at different open circuit voltages.jpg)
图1 左:25℃下不同扫描速率的Li3V2(PO4)3电极的循环伏安曲线
右:不同开路电压下测得的Li3-xV2(PO4)3的Niquist图[1]
恒电流充放电测试
联用逻辑:CV(机理研究)+ 充放电(性能验证)
协同作用:充放电测试提供最直接的性能参数,如容量、库伦效率和循环寿命。CV可以用来深入分析在循环过程中,是哪些具体的电化学反应(如SEI膜的持续生长、活性物质损失)导致了容量的衰减。例如,通过对比循环前后CV曲线的变化,可以判断电极材料的稳定性。东北师范大学的一项研究致力于通过设计梯度变化的固态电解质相间层来延长锂金属电池在碳酸酯类电解液中的循环寿命[2]。充放电测试直观地展示了采用新型SEI后电池循环稳定性的提升。而CV测试在这里的作用在于,可以通过观察锂沉积/溶解峰的尖锐程度、峰电位差等参数,定性或半定量地评估SEI膜对锂离子传输动力学的影响以及界面副反应的抑制情况,从而解释循环寿命延长的内在机理。
 film formed in situ on the lithium metal surface.jpg)
图2 金属锂表面原位形成的聚合物-无机物梯度变化的SEI(PIG-SEI)膜[2]
恒电流间歇滴定技术
联用逻辑:CV(动力学趋势)+ GITT(扩散系数定量)
协同作用:CV通过不同扫速下的测试,可以定性判断反应是受表面电容控制还是受扩散控制。如果峰电流与扫描速率成正比,通常表明反应是表面控制过程。如果峰电流与扫描速率的平方根成正比,则表明反应是扩散控制过程。通过这种方式,CV可以快速帮助我们理解反应的大致机制,并决定是否有必要进行更精确的GITT测量来量化扩散过程。而GITT技术则可以精确地计算出锂离子在电极材料中的固相扩散系数,为CV的定性结论提供坚实的定量数据支持。一项针对NMC622正极材料的研究则展示了GITT技术本身的深度应用[3]。研究发现,当电池电压高于3.8V时,电极的弛豫行为异常,无法满足传统GITT分析的理论前提。通过与电化学阻抗谱的对比,研究者指出,在此电压区间内,液相扩散(即锂离子在电解液孔隙中的迁移)的影响变得显著,甚至可能主导了整个过程。由于GITT测试所需时间非常长,因此利用CV先进行判断是否有必要进行精确的GITT测量是非常高效的测试手段。
.jpg)
图3 NMC622电池的第二次GITT测试(持续2570小时,约107天)
总结
选择哪些测试与CV配合,取决于你的研究目标。如果进行常规性能表征与失效分析,CV + EIS + 恒电流充放电是最经典、最有效的"铁三角"组合。如果需要判断是否需要进行GITT测试,可以通过CV测试进行初步判断。
参考文献
[1] Tang A, Wang X, Xu G, et al. Determination of the chemical diffusion coefficient of lithium in Li3V2(PO4)3[J]. Materials Letters, 2009, 63(16): 1439-1441.
[2] Lu W, Sun L, Zhao Y, et al. Elongating the cycle life of lithium metal batteries in carbonate electrolyte with gradient solid electrolyte interphase layer[J]. Energy Storage Materials, 2021, 34: 241-249.
[3] Abbas I, Tran H T, Tran T T N, et al. GITT Limitations and EIS Insights into Kinetics of NMC622[J]. Batteries, 2025, 11(6): 234.
[4] Moro G, Cristofori D, Bottari F, et al. Redesigning an electrochemical MIP sensor for PFOS: Practicalities and pitfalls[J]. Sensors, 2019, 19(20): 4433.
如果您想了解有关GITT的相关内容,推荐阅读














